#6-1 ์ ๋ณด๊ฒ์ ์ฑ๋ฅ ํ๊ฐ (P, R, F1, PRC)
by JiwonDev# ์ ๋ณด๊ฒ์์ ์ฑ๋ฅ์ ์ด๋ป๊ฒ ํ๊ฐํ ๊น?
1. Effectiveness, (ํจ๊ณผ์ฑ, ์ฌ์ฉ์ ๋ง์กฑ๋)
์ ํ๋ฅ Precision(๊ฒ์๋ ๋ฌธ์ ์ค ์ ํฉ๋ฌธ์์ ๋น์จ), ์ฌํ์จRecall(์ ์ฒด ์ ํฉ ๋ฌธ์์ค ์ฐพ์ ๋น์จ), F์งํ
2. Efficiency(ํจ์จ์ฑ)
์๊ฐ, ๊ณต๊ฐ ๋ณต์ก๋ ( ๋ฌธ์๋น ํ๊ท ์์ธ์๋, ๊ฒ์์์์๊ฐ )
-> ์ด๋ ์๊ณ ๋ฆฌ์ฆ ์ฑ๋ฅ์ ์์ญ์ด๋ฏ๋ก ์ด ๊ธ์์ ๋ค๋ฃจ์ง๋ ์๋๋ค.
# ๊ทธ๋ฅ ์ ๋ต์ ๋ง์ถ ๋น์จ๋ก ํ๊ฐํ๋ฉด ๋๋๊ฑฐ ์๋๊ฐ์?
๊ทธ๊ฑธ ์ ํ๋(Accuracy)๋ผ๊ณ ํฉ๋๋ค.
์ด๊ฑด ์๋ฅผ ํ๋ฒ ๋ค์ด๋ณด๋ฉด ์ ์ด๊ฒ ๊ตฌ๋ฆฐ์ง ์ ์ ์์ต๋๋ค. ํ์ 100๋ช ์ ๋ฐ์ดํฐ๊ฐ ์๊ณ , ๊ทธ ์ค 5๋ช ์ ํ์๊ฐ ์ ์ฑ ์ข ์์ ๊ฐ์ง๊ณ ์๋ค๊ณ ์ ์ฑ์ข ์์ ํ์งํ๋ ๋ชจ๋ธ A๊ฐ ์๋ค๊ณ ์๊ฐํด๋ด ์๋ค.
๋ชจ๋ธ A : ์๋ฌด๋ฐ ๋์์์ด ๋ชจ๋ ํ์ 100๋ช ์ด ๋ชจ๋ ์ ์์ด๋ผ๊ณ ํ๋จ, 100๋ช ์ค 95๋ช ์ ์ง์ง ์ ์์ธ์ด๊ณ 5๋ช ์ ํ๋ ธ์ผ๋ 0.95(95%)
๋ชจ๋ธA๊ฐ ์ ๋ง ์ข์ ๊ฒ์๋ชจ๋ธ์ผ๊น์? ๋น์ฐํ ์๋๋๋ค. ์ด๋ ๊ฒ ๋ฐ์ดํฐ ์์ฒด๊ฐ ํ์ชฝ์ผ๋ก ๋ชฐ๋ ค์๋ ๊ฒฝ์ฐ, ๋จ์ ๊ณ์ฐํ ์ ํ๋(Accuracy)๋ ๋ฏฟ์ ์ ์์ต๋๋ค.
# ์ ํ๋ฅ ๊ณผ ์ฌํ์จ (Precision & Recall), F1 ์งํ
์ ํ๋ฅ : ๊ฒ์๋ ๋ฌธ์์์ ์ ํฉ ๋ฌธ์์ ๋น์จ $ = \frac{๊ฒ์๋ ์ ํฉ ๋ฌธ์ ์}{๊ฒ์๋ ๋ฌธ์ ์}$
์ฌํ์จ : ์ ์ฒด ์ ํฉ ๋ฌธ์์์ ์ฐพ์๋ธ ์ ํฉ ๋ฌธ์์ ๋น์จ $ = \frac{๊ฒ์๋ ์ ํฉ ๋ฌธ์ ์}{์ ํฉ ๋ฌธ์ ์}$
์ ์ฒด ๋ฌธ์์งํฉ {D1,D2,D3...D200}์ด ์๊ณ 200๊ฐ์ ๋ฌธ์์ค ์ง์ {Q}์ ์ ํฉํ ๋ฌธ์๊ฐ 5๊ฐ๊ฐ ํฌํจ๋์ด์๋ค.
๊ฒ์ํ์ ๋ 6๊ฐ์ ๋ฌธ์๊ฐ ๊ฒ์๋์๊ณ , ๊ทธ ์ค 4๊ฐ๊ฐ ์ ํฉ๋ฌธ์๋ผ๋ฉด?
์ ํ๋ฅ : $ = \frac{๊ฒ์๋์ ํฉ๋ฌธ์์}{๊ฒ์๋๋ฌธ์์} = \frac{4}{6} = 0.6666\dots$
์ฌํ์จ: $ = \frac{๊ฒ์๋์ ํฉ๋ฌธ์์}{์ ํฉ๋ฌธ์์} = \frac{4}{5} = 0.8$

์ฐธ๊ณ ๋ก ๊ฒ์์์คํ ๋ง๋ค ์ ํ๋ฅ , ์ฌํ์จ์ ์ค์์ฑ์ด ๋ฌ๋ผ์ง๋ค.
์๋ฅผ ๋ค์ด ํนํ/๋ฒ๋ฅ ๋ถ์ผ์ ๊ฒ์์์๋ ์ ์ฒด ์ ํฉ๋ฌธ์๋ฅผ ์ฐพ๋ ์ฌํ์จ์ ๋์ด๋๊ฒ ์ค์ํ๋ฉฐ
์ผ๋ฐ์ ์ธ ์น ๊ฒ์์์๋ ๋์๊ฒ ์ ํฉํ ๋ฌธ์๋ง ๋ณด์ฌ์ฃผ๋ ์ ํ๋ฅ ์ ๋์ด๋๊ฒ ์ค์ํ๋ค.
(์ผ๋ฐ ์ฌ์ฉ์๋ค์ ๊ฒ์์์คํ ์ด ๊ฐ์ง ์ ์ฒด ์ ํฉ๋ฌธ์๊ฐ ํ์ํ์ง ์๋ค.)
์ ํ๋ฅ ์ด ์์ฒญ ์ข์๋ฐ ์ฌํ์จ์ด ๋๋ฌด ๋ฎ์ ์์คํ , ์ฌํ์จ์ด ๋ฐ์ด๋์ง๋ง ์ ํ๋ฅ ์ด ๋ฎ์ ์์คํ
๋ ๊ฐ์ง๋ฅผ ๋์์ ๋น๊ต. ์ฆ (์ ํ๋ฅ +์ฌํ๋ฅ )์ ์ ์๋ฅผ ๋น๊ตํด์ ๊ฒ์๋ชจ๋ธ์ ํ๊ฐ ํ ์๋ ์์๊น?
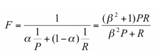
# F - Measure (F ์งํ)
์ค์ ๋ก ์ด๋ฅผ ์ด๋ป๊ฒ ํ ์ง ๊ณ ๋ฏผํ๋ค ๋์จ ๊ฒ์ด ์กฐํํ๊ท ์ ์ฌ์ฉํ๋ F์งํ์ด๋ค.
์กฐํํ๊ท ์ด ๋ญ์ฃ ?

์ผ๋ฐ์ ์ผ๋ก ์ฌ๋ฌ ์์ ํ๊ท ์ ๋ผ ๋, ์ฐ๋ฆฌ๋ ์ ๋ถ ๋ง์ ํ์ฌ ๋๋๋ ์ฐ์ ํ๊ท (Arithmetic Mean)์ ์ฌ์ฉํ๋ค. ์กฐํํ๊ท ์ (์ฃผ์ด์ง ์๋ค์ ์ญ์)๋ฅผ ๋ํ๊ณ ํ๊ท ๋ธ ๊ฐ์ ์ญ์๋ฅผ ์ทจํ๋ ๋ฐฉ์์ด๋ค.
์ด๋ฌํ ์กฐํํ๊ท ์ ์์
์ ํ์(์ฃผํ์์ ์ญ์)๋ ์๋์ ํ๊ท ์ ๊ตฌํ ๋ ์ฌ์ฉ๋๋ค.
๊ฐ์ ๊ฑฐ๋ฆฌ S๋ฅผ ๊ฐ๋๋ 10m/s, ์ฌ๋๋ 20m/s ์ผ๋ก ์๋ณต์ฃผํํ์๋ค๋ฉด ํ๊ท ์๋ ฅ์ ๋จ์ํ ์ฐ์ ํ๊ท ์ผ๋ก 15m/s๋ผ๊ณ ์๊ฐํ ์ ์๋๋ฐ, ์ค์ ์๊ฐ๊ณผ ๊ฑฐ๋ฆฌ๋ฅผ ๊ณ์ฐํด ์๋ ฅ์ ์ธก์ ํด๋ณด๋ฉด ๋๋ต 13.3m/s ์ ๋์ ์๋๊ฐ ๋์จ๋ค.
์ ๊ฒฐ๊ณผ๊ฐ ๋ค๋ฅด๊ฒ ๋์ค๋๋ฉด ์๋ ฅ์ $ \frac{๊ฑฐ๋ฆฌ}{์๊ฐ} $ ์ธ๋ฐ, ์๋ ฅ์ด ๋ค๋ฅด๋ฉด ๊ฑธ๋ฆฌ๋ ์๊ฐ๋ ๋ฌ๋ผ์ง๊ธฐ ๋๋ฌธ์ด๋ค. ๊ทธ๋์ ํด๋น ๊ณต์์ ์๊ฐ์ ๋ํด์ ์๋์ ๊ฐ์ด $ \frac{๊ฑฐ๋ฆฌ}{์๋ ฅ} $ ์ผ๋ก ๊ตฌํด์ผ ์ฝ๊ฒ ๊ตฌํ ์ ์๋ค.

์ฌ๊ธฐ์์ x(ํ๊ท ์๋ ฅ)์ ๋ํด ์ ๊ฐํ๋ฉด ์์ ๊ฐ์ ์กฐํํ๊ท ๊ณต์์ด ๋์ค๊ฒ ๋๋ค. ์ฐธ๊ณ ๋ก ๊ฐ์ด 2๊ฐ (a,b) ์ผ๋ ์กฐํํ๊ท (x)๋ฅผ ์ผ๋ฐํํ๋ฉด ๋ค์๊ณผ ๊ฐ์ ๊ณ์ฐํ๊ธฐ ์ฌ์ด ๊ณต์์ ์ป์ ์ ์๋ค.

์ ํ๋ฅ , ์ฌํ์จ์ ๋ถ์๋ก ์ด๋ฃจ์ด์ง ๊ฐ์ด๊ธฐ์ ์กฐํํ๊ท ์ ์ฌ์ฉํด์ผํ๋ค.
์ฌ๊ธฐ์ ํ์์ ๋ฐ๋ผ ์ ํ๋ฅ (P)๊ณผ ์ฌํ๋ฅ (R)์ ๊ฐ์ค์น $ \alpha $๋ฅผ ๋ ๊ฐ์ด F-์งํ์ด๋ค.
๋ค๋ง ๋ณดํต 2๊ฐ์ ๊ฐ์ ๋ํด์ ์กฐํํ๊ท ์ ์ฝ๊ฒ ๊ตฌํ ์ ์๋ ๊ณต์์ ์ฌ์ฉํ๋ค.
$(a,b)$์ ์กฐํํ๊ท ๊ณต์ = $ \frac{2ab}{a+b} $
๊ทธ๋์ ๊ฐ์ค์น๋ฅผ ์ด์ฉํด์ ์ ๊ณต์ ๋ชจ์์ผ๋ก ๊ณ์ฐํ๊ฒ๋๋ฉด ์์๋๊ฐ ๋ค์๊ณผ ๊ฐ์ ๋ชจ์์ผ๋ก ๋์ค๊ฒ ๋๋๋ฐ ์ด๋ ๊ณ์ฐ๋ ๊ฐ์ค์น ๊ฐ์ ๊ณ์ฐํ๊ธฐ ํธํ๊ฒ $ \beta $ ๋ก ์นํํ๋ค.

์ฐธ๊ณ ๋ก ๊ณ์ฐํด๋ณด๋ฉด ์๊ฒ ์ง๋ง, $ \beta $ ๊ฐ์ ๋ณด๊ณ ๊ฐ์ค์น $ \alpha $ ๋ฅผ ์ ์ถ ํ ์ ์๋ค.
$ \beta < 1$ ์ ํ๋ฅ (P)์ ๊ฐ์ค์น $ \alpha $ ๊ฐ ๋ ๋์ ๊ฒ์ด๊ณ
$ \beta > 1$ ์ด๋ฉด ์ฌํ์จ(R)์ $ (1-\alpha) $ ๊ฐ์ค์น๋ฅผ ๋ ๋๊ฒ ์ค ๊ฒ์ด๋ค.
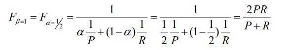
# F-1 ์งํ
๋ง์ฝ ์ฌ๊ธฐ์์ ๊ฐ์ค์น ๊ฐ์ ๋ ๋ค ๋๊ฐ์ด 50% (0.5)๋ฅผ ๋ถ์ฌํ๋ค๋ฉด ์ ์์์ $ \beta $ ๊ฐ์ 1์ด ๋์ด ๋ค์๊ณผ ๊ฐ์ ๊ฐ๋จํ ์์์ด ๋์ค๊ฒ ๋๋ค. ์ด๋ฅผ $ F_1 Measure $๋ผ๊ณ ๋ถ๋ฅธ๋ค.

์ ์ด์ ์ฐ๋ฆฌ๋ ์์ ๋ณต์กํ ์์์ ๋ค ๋จธ๋ฆฌ์์ ์ง์ฐ๊ณ , ์ ํ๋ฅ ๊ณผ ์ฌํ๋ฅ ์ ๊ฐ์ค์น๋ฅผ 50๋ 50์ผ๋ก ๋์ผํ๊ฒ ์ค $ F_1 $ ์งํ์ ๊ณต์๋ง ์ธ์ฐ๋ฉด ๋๋ค. ์ฐธ๊ณ ๋ก ์ด๋ (์๋ ฅ a, ์๋ ฅ b)์ ์กฐํํ๊ท ๊ณต์๊ณผ ๊ฐ๋ค.
$F_1$ $Measure$ $= \frac{2 * P * R}{P + R}$
* ์ฐธ๊ณ ๋ก F์ ์๋ฏธ๋ ๊ทธ๋ฅ ์ด ์งํ๋ฅผ ๋ฐํํ ํํ(MUC-4, 1992)์์ ์ด๋ฆ์ง์๊ฑฐ๋ผ ๋ณ ์๋ฏธ ์๋ค. G(Geometry ํ๊ท ์งํ)์ ํจ๊ป ์ค๋ช ํ๋ฉด์ ๊ทธ๋ฅ H๋ ์ด๋ฏธ ๋ค๋ฅธ ๊ณณ์์ ์ฌ์ฉํ๊ณ ์์ผ๋ F๋ผ๊ณ ์ง์ ๋ฏํ๋ค.
# ์ ํ๋ฅ ๊ณผ ์ฌํ์จ์ ํ๊ณ
์ ํฉ๋ฌธ์์ ๊ฐ์๊ฐ 10๊ฐ์ธ ์ง์ Q์ ๋ํ์ฌ ์ ํฉ๋ฌธ์๊ฐ { D0 } ํ๋์ผ ๋
System A : 5๊ฐ์ ๋ฌธ์ ๊ฒ์ $ \{(rank_1:D_4), (rank_2: D_3), (rank_3: D_1), (rank_4:D_2), (rank_5:D_0)\} $
System B : 5๊ฐ์ ๋ฌธ์ ๊ฒ์ $ \{(rank_1: D_0), (rank_2: D_1), (rank_3: D_2), (rank_4:D_3), (rank_5:D_4)\} $
์ด ๋ ์์คํ ์ ์ ํ๋ฅ (Precision)๊ณผ ์ฌํ์จ(Recall)์ ๊ฐ๊ฐ ๊ตฌํ๋ฉด
์์คํ A $P = 1/5, R = 1/10$ ์ด๋ค.
์์คํ B $P = 1/5, R = 1/10$ ์ด๋ค.
๋น์ฐํ P์ R์ ๊ฐ์ด ๊ฐ์ผ๋, ์ด ๋์ ํ๊ท ์ ๋ธ $ F_1 $ ์งํ์ ๊ฐ๋ ๋์ผํ๋ค.
ํ์ง๋ง ๋จ์ํ ์๊ฐํด๋ ์ค์ ์ฑ๋ฅ์ ์ ํฉ๋ฌธ์๋ฅผ Rank1์ผ๋ก ์ฐพ์๋ธ ์์คํ B๊ฐ ๋ ์ฐ์ํ ๊ฒ์์์คํ ์ด๋ผ ๋ณผ ์ ์๋ค.
๊ทธ๋ ๋ค๋ฉด ์์(Rank) ์ ๋ณด๊น์ง ๊ณ ๋ คํด์ ์ ๋ณด๊ฒ์ ์์คํ ์ ํ๊ฐํ ๋ ค๋ฉด ์ด๋ป๊ฒ ํด์ผํ ๊น?

# Ranking์ ํฌํจํ ์ ๋ณด๊ฒ์ ์ฑ๋ฅํ๊ฐ
1. Precision-Recall Curve (PRC)
์ ํ๋ฅ (P)์ ์ฌํ๋ฅ (R)๋ก ๊ทธ๋ํ๋ฅผ ๊ทธ๋ฆฌ๋ ๋ฐฉ๋ฒ. ๋ณดํต ์ ํ๋ฅ ์ ์ธ๋ก(y)์ถ์ผ๋ก ์ฌ์ฉํ๋ค.
* ๋ฌผ๋ก ๋จ์ํ P-R ๊ทธ๋ํ๋ฅผ ๊ทธ๋ฆฌ๋ฉด ๊ทธ๋ํ์ ๋ชจ์์ด ํฑ๋๋ชจ์(sawtooth)๋ผ์ ์ ๋๋ก ํ๊ฐ ํ ์ ์๋ค.
์ด ์ ํฉ๋ฌธ์๊ฐ 5๊ฐ๊ฐ ์๊ณ , ์ง์๋ฌธ(Q)์ ๋ํ์ฌ 8๊ฐ์ ๋ฌธ์๊ฐ Rank1~8๋ก ์ ๋ ฌ๋์ด ๊ฒ์๋์๋ค๊ณ ๊ฐ์ ํ๋ฉด ์๋์ ๊ฐ์ ํ๊ฐ ๋์จ๋ค.
$Rank_1$ ๊ฒ์๋ ๋ฌธ์์งํฉ $ \{555\}$ , $R:\frac{1}{5}$ $P:\frac{1}{1} $
$Rank_2$ ๊ฒ์๋ ๋ฌธ์์งํฉ $ \{555,888\}$ , $R:\frac{1}{5}$ $P:\frac{1}{2} $
$Rank_3$ ๊ฒ์๋ ๋ฌธ์์งํฉ $ \{555,888,111\}$ , $R:\frac{2}{5}$ $P:\frac{2}{3} $
$Rank_4$ ๊ฒ์๋ ๋ฌธ์์งํฉ $ \{555,888,111,333\}$ , $R:\frac{2}{5}$ $P:\frac{2}{4} $
... ์ด๋ฐ์์ผ๋ก ๊ฒ์๋ ๋ฌธ์๋ฅผ Rank ์์๋๋ก 1๊ฐ์ฉ ๋๋ฆฌ๋ฉฐ ๊ทธ๋ํ๋ฅผ ๊ทธ๋ฆฌ๋ ๋ฐฉ๋ฒ์ด๋ค. (๊ฒ์๋ ์ด ๋ฌธ์ ๊ฐ์๋งํผ ์ ์ด ์ฐํ๋ค.)

์ด ๊ทธ๋ํ์ ๋ชจ์์ ์ด์ฉํด์ Rank์ด ๋ฐ์๋ ์ ์๋ฅผ ๋งค๊ธฐ๋ ๋ฐฉ๋ฒ์ธ๋ฐ, ๋น์ฐํ ์ ๋ฐ ํฑ๋๋ชจ์ ๊ทธ๋ํ๋ฅผ ๋น๊ตํ๊ธฐ๊ฐ ์ด๋ ค์์ ๊ทธ๋ฅ ์ฌ์ฉํ์ง๋ ์๊ณ ๋ณด๊ฐ(๋ณด์ , Interpolated)ํ์ฌ ์ฌ์ฉํ๋ค.
2. Interpolated PRC (๋ณด๊ฐ PRC)
PRC์ ๊ทธ๋ํ ๋ชจ์์ ํฑ๋๋ชจ์์ด ์๋, ์๋งํ ๋ชจ์์ผ๋ก ๋ฐ๊พธ๋ ๋ฐฉ๋ฒ์ด๋ค.
์ฌํ๋ฅ (r) ํ ์ง์ ์ ์ ํด์, ๊ทธ ์ง์ ๋ณด๋ค ์ฌํ๋ฅ ์ด ๊ฐ๊ฑฐ๋ ํฐ ์ ๋ค ์ค ๊ฐ์ฅ ํฐ max ์ ํ๋ฅ ๊ฐ์ ์ฐพ๋๋ค.
์๋ฅผ ๋ค์ด $P(0.2)$๋ ์ฌํ๋ฅ (R)์ด $0.2$ ๋ณด๋ค ๊ฐ๊ฑฐ๋ ํฐ ์ง์ ์ค ๊ฐ์ฅ ํฐ ์ ํ๋ฅ ๊ฐ์ ์๋ฏธํ๋ค.
์๋ ๊ทธ๋ํ์์๋ ์ฌํ๋ฅ ์ด $ 0.2 $์ผ ๋ ์ ํ๋ฅ ์ด $ 1.0 $์ผ๋ก ๊ฐ์ฅ ํฌ๋ฏ๋ก $ P(0.2) = 1 $
์ด๋ฐ์์ผ๋ก ๊ณ์ ๊ตฌํด๋๊ฐ๋ฉด ์๋ ๊ทธ๋ํ์ โ ์ ๋ง ๋จ๊ฒ๋๊ณ , ๋๋จธ์ง๋ ์์ด์ง๊ฒ ๋์ด ๊ทธ๋ํ ๋ชจ์์ด ์๋งํ ๋ฐ๋ฌ๋ชจ์์ผ๋ก ๋ฐ๋๋ค.
$ P(0.2) = 1.0 $ , $ P(0.4) = 0.67 $ , $ P(0.6) = 0.5 $

๋ชจ๋ P(์ฌํ๋ฅ ) ์ ๋ํด ์์ญ, ์๋ฐฑ๋ง๊ฐ์ ์ ์ ์ฐ์ด ๋ณด๊ฐ์ ํ๋ฅ ์ ๊ตฌํ ์ ๋ ์์ง๋ง, ๋ณดํต $ (0, 0.1, 0.2 \dots 1.0) $ 10% ๋จ์๋ก 11๊ฐ์ ์ฌํ๋ฅ ์ ๊ตฌํด ๊ตฌํด ์๋งํ ๊ทธ๋ํ๋ฅผ ๊ทธ๋ฆฐ๋ค. (Averaged 11-point P/R graph)
์๋ ๋นจ๊ฐ์ ๊ทธ๋ํ์์๋, ์ด๋ค ์์คํ ์ด ๋ ์ข์์ง ๊ทธ๋ํ์ ๋์ด๋ฅผ ๊ตฌํด ํ๋์ ํ์ ํ ์ ์๋ค. (์ด๋ก > ํ๋)

* ๋ณดํต ๊ทธ๋ํ์ ์ ์๋ฅผ ์๋ ๋์ด๋ก(AUC, Area Under the Curve) ๊ตฌํด์ ์ด๋ฅผ AUPRC๋ผ๊ณ ๋ถ๋ฅด๊ธฐ๋ ํ๋ค.
# ๊ทผ๋ฐ ์ง์๋ฌธ๋ง๋ค ๊ทธ๋ํ๊ฐ ๋ค๋ฅด๊ฒ ๋์ฌ๊ฑด๋ฐ, ์ด๋ค ์ง์๋ฌธ์ ๊ธฐ์ค์ผ๋ก ํด์ผํ ๊น?
๋ณดํต ๊ฒ์๋ชจ๋ธ์ ํ๊ฐ ํ ๋๋ ์ต์ 30๊ฐ, ๋ณดํต 50๊ฐ ์ด์์ ํ ์คํธ์ฉ ์ง์๋ฌธ$(Q_1\dots Q50)$์ ๊ฐ์ง๊ณ ํ๊ฐํ๋ค.
๊ทธ ๊ฐ๊ฐ์ ์ง์๋ฌธ์ ๋ํด $P(0.0, 0.1 \dots 1.0)$ ์ ๊ตฌํ๊ณ ๊ฐ ์ฌํ๋ฅ ๋ง๋ค ํ๊ท ์ ๊ตฌํด ์ฌ์ฉํ๋ค.
์๋ฅผ ๋ค์ด $Q_1$ :: $P(0.0) = 0.1$ $Q_2$ :: $P(0.0) = 0.2$ ... $Q50$ :: $P(0.0) = 0.15$
์ด๋ ๊ฒ ๊ฒฐ๊ณผ๊ฐ ๋์๋ค๋ฉด $P(0.0)$ ๊ฐ์ ํ๊ท ์ผ๋ก $P(0,0)$ ์ ๊ฐ์ ๊ฒฐ์ ํ๋ค.
# ์์ ๋ฅผ ํตํด ์ข ๋ ์์๋ณด์
์ ์ฒด ์ ํฉ๋ฌธ์์ ์๊ฐ 4๊ฐ๊ฐ ์๊ณ , ์ง์ ๋ฌธ์์ ๋ํด ์ด 15๊ฐ์ ๋ฌธ์๊ฐ Ranking ๋์ด ๊ฒ์๋์๋ค๊ณ ์๊ฐํด๋ณด์.
์์์ ๋ฐฐ์ด๋๋ก ํ๋ฅผ ๊ทธ๋ ค๋ ๋์ง๋ง, ์ฌ์ค Interpolated PRC์์๋ ์ ํฉ๋ฌธ์๊ฐ ๋์ฌ๋๋ง ์ ํ๋ฅ ์ ๊ฐ์ด ๋ฐ๋๋ฏ๋ก ์ ๋ถ ๊ตฌํ์ง์๊ณ ์ ํฉ๋ฌธ์์ Rank ์ง์ ์๋ง ์ ํ๋ฅ ์ ๊ตฌํด์ค๋ ๋๋ค.
P( ์ฌํ๋ฅ ) = ํด๋น ์ฌํ๋ฅ (R)๋ณด๋ค ๊ฐ๊ฑฐ๋ ํฐ ์ง์ ์์ ๊ฐ์ฅ ํฐ ์ ํ๋ฅ (P)

$Rank_1$ ${ 1 }$ , ์ ํฉ๋ฌธ์ 1/4๊ฐ $ P(0.25) = 1 $
$Rank_2$ ${ 1,2 }$ ์ ํฉ๋ฌธ์ 2/4๊ฐ $ P(0.5) = 1 $
$Rank_4$ ${ 1,2,3,4 }$ ์ ํฉ๋ฌธ์ 3/4๊ฐ $ P(0.75) = 0.75 $
$Rank_15$ ${ 1,2,3,4,5,6,7,8,9,10,11,12,13,14,15 }$ ์ ํฉ๋ฌธ์ 4/4๊ฐ $ P(1) = 0.27 $
์ ํฉ๋ฌธ์ 4๊ฐ์ Rank ์ง์ ์์ ์ ํ๋ฅ ์ ๋ชจ๋ ๊ตฌํ์ผ๋ ์ฌ์๊ฐ์ผ๋ก 11๊ฐ๋ฅผ ์ฝ๊ฒ ๊ณ์ฐ ํ ์ ์๋ค.
$P(0.0) = 1$ , $P(0.1) = 1$ , $P(0.2) = 1$
$P(0.3) = 1$ , $P(0.4) = 1$ , $P(0.5) = 1$
$P(0.6) = 1$ , $P(0.7) = 1$ , $P(0.8) = 0.75$
$P(0.9) = 0.75$ , $P(1.0) = 0.27$
ํ๋ฒ ๋ ๋งํ์ง๋ง, 'P(์ฌํ๋ฅ )์ด ๊ฐ๊ฑฐ๋ ํฐ ๊ฐ' ์ค์์ ๊ฐ์ฅ ํฐ ์ ํ๋ฅ ์ ์ ์ผ๋ฉด ๋๋ค.
๊ทธ๋ํ๋ง๊ณ ํ๋์ ํ๊ท ๊ฐ์ผ๋ก ๋ํ๋ด๋ ๋ฐฉ๋ฒ์ ์์๊น?
=> ํ๊ท ์ ํ๋ฅ (Mean Average Precision, MAP)
๊ธ ๋ด์ฉ์ด ๋๋ฌด ๊ธธ์ด์ ธ ํ๋ฒ ๋๊ณ , ๋ค์ ๊ธ์ ์ค๋ช ํ๋๋ก ํ๊ฒ ์ต๋๋ค.
# ํด์ฆ
์ฐธ๊ณ ๋ก 3๋ฒ ๋ฌธ์ ๋ ๋ค์ ๊ธ์์ ๋ค๋ฅธ ํ๊ฐ ๋ฐฉ๋ฒ์ผ๋ก ํ๋ฒ ๋ ์ค๋ช ํ ๊ฑฐ๋ ํธํ๊ฒ ํ๋ฒ ํ์ด๋ณด๋ฉด ๋๋ค.
1. ๋ค์ ํ๋ก ๋ถํฐ Accuracy, Precision, Recall, F1์ ๊ตฌํ์์ค
| Relevant | Non-relevant | |
| Retrieval | 7 | 13 |
| Not Retrieval | 58 | 922 |
ํ์ด
์์ด๋ก ์ ํ์์ด์ ๋นํฉํ๊ฒ ์ง๋ง, ์๋ฏธ๋ง ์ ์๊ณ ์์ผ๋ฉด ํฌ๊ฒ ์ด๋ ต์ง ์๋ค.
Relevant(๊ด๋ จ๋, ์ ํฉ ๋ฌธ์), Retrieval(๊ฒ์๋, ์ง์๋ฌธ์ ๊ฒ์๋ ๋ฌธ์) ๋ฅผ ์๋ฏธํ๋ค.
P(Precision, ์ ํ๋ฅ )์ ๊ฒ์๋ ๋ฌธ์ ์ค ์ ํฉ๋ฌธ์์ ๋น์จ๋ฅผ ์๋ฏธํ๋ค.
P =7/20
R(Recall, ์ฌํ์จ)์ ์ ์ฒด ์ ํฉ๋ฌธ์ ์ค ๊ฒ์๋ ์ ํฉ ๋ฌธ์์ ๋น์จ๋ฅผ ์๋ฏธํ๋ค. ๋ถ๋ชจ๊ฐ '์ ์ฒด ์ ํฉ๋ฌธ์ ์'์์ ์ ์ํ์.
R = 7/58+7 = 7/65
F1 ์งํ๋ ์กฐํํ๊ท ์ ๊ณต์์ผ๋ก ๊ตฌํ ์ ์๋ค.
$F_1$ $= \frac{2 * P * R}{P + R}$
$ F_1 $ = 2 * P * R / P + R
$ F_1 $ = 2 * (7/20) * (7/65) / (7/20) + (7/65)
A(Accuracy ์ ํ๋) ๋ ๋จ์ํ ์ ๋ต์ ๋ง์ถ ๋น์จ์ ์ ์ฒด๋ฌธ์์ ์๋ก ๋๋๋ฉด ๋๋ค.
(์ ํฉ๋ฌธ์ 7+ ๊ฒ์์ํ ๋ฌธ์ 922) / (์ ์ฒด ๋ฌธ์ 7 + 13 + 58 + 922)
A = (7+922) / (7+13+58+922)
2. ์ ํฉ๋ฌธ์์ ์ด ๊ฐ์๊ฐ 14์ธ ์ง์(Q)์ ๋ํด 20๊ฐ์ ๋ฌธ์๊ฐ ๊ฒ์๋์์ผ๋ฉฐ, ๊ฒ์๋ ๋ฌธ์ ์ค 5๊ฐ์ ์ ํฉ๋ฌธ์๊ฐ ํฌํจ๋์ด ์๋ค. ์ง์ (Q)์ ๋ํ Precision, Recall, F1์ ๊ตฌํ์์ค
ํ์ด
P = 5/20
R = 5/14
F1 = 2*P*R / P + R
F1 = 2 * (5/20) * (5/14) / (5/20) + (5/14)
3. ๋ค์ ํ๋ ์ง์ Q์ ๋ํ ๊ฒ์๋ฌธ์ ์งํฉ ์ ์ฒด๋ฅผ ๋ณด์ธ ๊ฒ์ด๋ค. ์ง์ Q์ ์ ํฉ๋ฌธ์์งํฉ R =
{ 800:1, 690:3, 700:3 ,500:2 } ๋ผ๊ณ ํ ๋ ์๋ ์ง๋ฌธ์ ๋ตํ์์ค. ( ์ฐธ๊ณ . 800:1 ์๋ฏธ๋ D900 ๋ฌธ์์ ์ ํฉ๋๊ฐ 1์ด๋ผ๋ ์๋ฏธ์ด๋ค. )
| Rank | Document No. | ์ ํฉ๋ |
| 1 | 381 | 0 |
| 2 | 800 | 1 |
| 3 | 456 | 0 |
| 4 | 451 | 0 |
| 5 | 761 | 0 |
| 6 | 690 | 3 |
| 7 | 295 | 0 |
3-1 Precision, Recall, F1์ ๊ตฌํ์์ค
ํ์ด
๋ฌธ์ ๊ฐ ํท๊ฐ๋ฆด ์ ์๋๋ฐ, ์ง์ Q์ ๊ฒ์ ๊ฒฐ๊ณผ๊ฐ ํ์์๋ 7๊ฐ๊ฐ ๋์จ ๊ฒ์ด๊ณ , ์ ์ฒด ๋ฌธ์์ค ์ ํฉ๋ฌธ์๊ฐ 3๊ฐ(D800, D690, D830) ๋ผ๋ ์๋ฏธ์ด๋ค.
ํ๋ฅผ ๋ณด๋ฉด ์ ์ ์์ง๋ง ์ง์๋ฌธ Q์ ๋ํด์ D800, D690 ์ด 2๊ฐ์ ์ ํฉ๋ฌธ์๊ฐ ๊ฒ์๋์๋ค.
P = 2/7
R = 2/3
F1 = 2 * (2/7) * (2/3) / (2/7) + (2/3)
3-2 11-point P/R Graph์ ์ขํ๋ฅผ ๊ตฌํ์์ค.
ํ์ด
์ต๋ ์ ํ๋ฅ ๋ง ๊ตฌํ๋ฉด ๋๋๊น ์ ์ฒด ํ๋ฅผ ๋ค ๊ทธ๋ฆฌ์ง ๋ง๊ณ ์ ํฉํ ๋ฌธ์์ Rank๋ง ๋ณด๋ฉด ๋๋ค.
์ด ์ ํฉ๋ฌธ์๋ 3๊ฐ๋ผ๊ณ ํ๊ณ , ์ง์(Q)์ ๋ํด ์ ํฉ๋ฌธ์๊ฐ 2๊ฐ๊ฐ ๊ฒ์๋์๋ค.
Rank 2, ์ด 2๊ฐ ์ค ์ ํฉ๋ฌธ์ 1๊ฐ{ ใ , D800 }
Rank 6, ์ด 6๊ฐ ์ค ์ ํฉ๋ฌธ์ 2๊ฐ{ ใ , D800, ใ , ใ , ใ , D690 }
Rank2 ๊ธฐ์ค P= 1/2(0.5), R=1/4(0.25)
Rank6 ๊ธฐ์ค P= 2/6(0.333), R=2/4(0.5)
๊ทธ๋ํ ๊ฐ์ P( ์ฌํ์จ ) ์์ ํด๋น ์ฌํ์จ(R)๋ณด๋ค ํฌ๊ฑฐ๋ ๊ฐ์ ๊ฐ์ค ์ต๋ ์ ํ๋์ด๋ฏ๋ก
์ฌํ์จ(R) 0.0 ~ 0.25๊น์ง๋ P 0.5๊ฐ ์ต๋๊ฐ
์ฌํ์จ(R) 0.25์ด๊ณผ ~ 0.5 ์ดํ๊น์ง๋ P 0.333์ด ์ต๋๊ฐ
์ฌํ์จ(R) 0.5์ด๊ณผํ๋ ๊ฒฝ์ฐ๋ ์กด์ฌํ์ง ์์ผ๋ฏ๋ก P 0 ์ด๋ผ๊ณ ์๊ฐํ๋ฉด ๋๋ค.
P(0.0) ~ P(0.2) = 0.5
P(0.3) ~ P(0.5) = 0.333, ์ฌํ์จ์ด ๊ฐ์ ๊ฒฝ์ฐ๋ ํฌํจํ๋ ๊ฒ์ ์ ์ํ์.
P(0.6) ~ P(1.0) = 0, ํด๋น ์ฌํ์จ์ด ์กด์ฌํ์ง ์๋๋ค๋ฉด ์ ํ๋ฅ (P)์ ์ต๋๊ฐ์ 0์ด๋ค.
'๐ฑโ๐ป์ ๊ณต ๊ณต๋ถ > ์ ๋ณด๊ฒ์' ์นดํ ๊ณ ๋ฆฌ์ ๋ค๋ฅธ ๊ธ
| #7. ๊ฒ์ ์ฑ๋ฅํ๊ฐ TestCase (0) | 2021.06.01 |
|---|---|
| #6-2 ์ ๋ณด๊ฒ์ ์ฑ๋ฅํ๊ฐ (MAP, Pre@K, R-pre, NDCG) (0) | 2021.06.01 |
| #5 ๋ฒกํฐ ๋ชจ๋ธ SMART ํ๊ธฐ๋ฒ (0) | 2021.05.31 |
| ์ ๋ณด๊ฒ์ #4 ๊ฒ์๋ชจ๋ธ (Retrieval Models) (0) | 2021.04.15 |
| ์ ๋ณด๊ฒ์ #3 ์์ธ(Indexing) (0) | 2021.04.15 |
๋ธ๋ก๊ทธ์ ์ ๋ณด
JiwonDev
JiwonDev