HTTP #1 ๋คํธ์ํฌ์ ๋์์๋ฆฌ
by JiwonDev์น์ฌ์ดํธ์ ๋์ ์๋ฆฌ๋ฅผ ์ดํดํ๊ธฐ ์ , ์ธํฐ๋ท์ด ์ด๋ป๊ฒ ๋คํธ์ํฌ๋ฅผ ๊ตฌ์ฑํ๋์ง ๊ฐ๋จํ๊ฒ ์์๋ณด๊ณ ์ ํ๋ค.
1. Web
์ฐธ๊ณ ๋ก ์น์ World Wide Web์ ์ค์ฌ ๋ถ๋ฅด๋ ๊ฒ์ผ๋ก 1989๋ ํ ๋ฒ๋์ค๋ฆฌ๊ฐ ์ฐ๊ตฌ์๊ฐ ์๋ฃ๋ฅผ ์ฃผ๊ณ ๋ฐ์ ๋ ํธํ๊ฒ ์ฌ์ฉํ๋ ค๊ณ ๊ฐ๋ฐํ HTML๊ณผ ํจ๊ป ๋ง๋ ๋ฐ์ดํฐ ๊ณต์ ์์คํ ์์ ์์๋์๋ค.

2. Internet
- ๋ฏธ๊ตญ ๊ตฐ๋ฐฉ๋ถ ๋คํธ์ํฌ (์ํ๋ท)์ ๊ตฌ์ฑํ๊ธฐ ์ํด ๋ง๋ ๊ฒ์ด ์ธํฐ๋ท์ ์์ด์ด๋ค.
- ์ธํฐ๋ท์ด๋ผ๋ ์ด๋ฆ์ 1973๋ TCP/IP๋ฅผ ๋์ ํ๋ฉด์ ๋ชจ๋ ์ปดํจํฐ๋ฅผ ํ๋์ ํต์ ๋ง์ ์ฐ๊ฒฐ(International Network)ํ๋ ํ๋ก์ ํธ๋ผ๋ ์๋ฏธ๋ก internet์ด๋ผ๊ณ ๋ถ๋ฅด๊ธฐ ์์ํ๋ค.
2-1 ๋คํธ์ํฌ๋ก ๋ฐ์ดํฐ๋ฅผ ์ฃผ๊ณ ๋ฐ๋ ๋ฐฉ๋ฒ
์ฐ๋ฆฌ๊ฐ ๋ฐ์ดํฐ๋ฅผ ์ฃผ๊ณ ๋ฐ๋ ๊ฐ์ฅ ์ฌ์ด๋ฐฉ๋ฒ์, ๊ทธ๋ฅ ์ปดํจํฐ์ ์ปดํจํฐ ์ฌ์ด๋ฅผ ์ ์ผ๋ก ์ฐ๊ฒฐํ๋ ๊ฒ์ด๋ค.

ํ์ง๋ง ์ธํฐ๋ท์ 1:1 ์ฐ๊ฒฐ์ด ์๋ N:N, ์ฆ ๋ค์์ ์ฌ์ฉ์๊ฐ ์๋ก ์ ๋ณด๋ฅผ ์ฃผ๊ณ ๋ฐ์์ผํ๋๋ฐ ์ด๋ฅผ ์ฐ๊ฒฐํ ๋ ค๋ฉด ์ด๋ป๊ฒ ๊ตฌ์ฑํด์ผํ ๊น? ๊ทธ๋ฅ ๋จธ๋ฆฌ ๋น์ฐ๊ณ ์ ์ ์ฐ๊ฒฐํ๊ณ ์ํ๋ฉด?

์ด๋ฅผ ํด๊ฒฐํ๊ธฐ์ํด์ ์ฌ์ฉํ๋ ๊ฒ์ด ๋ผ์ฐํฐ(Router)์ด๋ค. ์ค๊ฐ์ ํต์ ์ ๋ด๋นํ๋ ์ํ ์ปดํจํฐ๋ฅผ ๋ฌ์ ํต์ ์ ์ ๋ฆฌํ๋ ๋ฐฉ๋ฒ์ด๋ค.

๋ฌผ๋ก ์ด๋ ๊ฒํ๋ฉด ํ ๊ณต๊ฐ ์์ ์๋ ์ปดํจํฐ๋ ๋ค ์ฐ๊ฒฐ ํ ์์๊ฒ ์ง๋ง, ๋ฉ๋ฆฌ์๋ ๋ค๋ฅธ ๊ฑด๋ฌผ์ ์ด๋ป๊ฒ ์ฐ๊ฒฐํ ๊น?
ํด๊ฒฐ๋ฐฉ๋ฒ์ ๋ผ์ฐํฐ๋ฅผ ์ด์ฉํด ๋คํธ์ํฌ ๋ผ๋ฆฌ ํต์ ์ ์ฃผ๊ณ ๋ฐ๋ ๊ฒ์ด๋ค.

๊ทธ๋ฐ๋ฐ ์ด์ํ ์ ์ด ํ๋ ์๋ค. ์ ์๊ฐํด๋ณด์. ์ธํฐ๋ท์ ์ฐ๋ ๊ณณ์ด ํฐ ์ฌ๋ฌด์ค๋ง ์๋ ๊ฒ๋ ์๋๊ณ ์ง๋ง๋ค ๋ค ์ฐ๊ฒฐ ๋์ด์๋๋ฐ ์ด๋ฐ ์ธํ๋ผ๋ฅผ ์ด๋ป๊ฒ ๋ง๋ค์์๊น? ํ ๋๊ธฐ์
์ด ์ ๋ถ ์ฐพ์๊ฐ๋ฉด์ ๋ผ์ฐํฐ์ ์ธํฐ๋ท ์ ์ ์ง์ง๋ง๋ค ์ฐ๊ฒฐํ์๊น?
์๋๋ค. ๋คํํ๋ ์ธํฐ๋ท์ ๋ณด๊ธํ๋ ์์ , ์ฐ๋ฆฌ๋ ์ด๋ฏธ ๋ชจ๋ ์ง์ ์ฐ๊ฒฐํ ์ผ์ด๋ธ์ด ์กด์ฌํ๋ค. ๊ทธ๊ฑด ๋ฐ๋ก ์ ํ์
๊ทธ ๋น์์ ์ฌ๋๋ค์ ์ ํ์ ์ ์ด์ฉํด์ ๋ผ์ฐํฐ์ ์ฐ๊ฒฐ ํ ์ ์์๋ค. ๋ฌผ๋ก ์ ํ์ ์ด ๋คํธ์ํฌ ๋ชฉ์ ์ผ๋ก ์ค์น ํ๊ฑด ์๋๋ผ์ ๊ทธ๋ฅ ์ฐ๊ฒฐํ๋ค๊ณ ๋๋ ๊ฑด ์๋๊ณ ์ ํ์ ์ผ๋ก ๋คํธ์ํฌ๋ฅผ ํต์ ์ ํ ์ ์๊ฒ ๋์์ฃผ๋ ์ฅ๋น๊ฐ ํ์ํ๋ฐ
์ด ๊ธฐ๊ธฐ๊ฐ ๋ฐ๋ก ์ง์ ์ธํฐ๋ท ์ค์นํ ๋ ๋ฌ์์ฃผ๋ ๋ชจ๋(MODEM, MOdulator and DEModulator)์ด๋ค.

์ด๋ฐ์์ผ๋ก ๋ชจ๋์ผ๋ก ์ฐ๊ฒฐ๋ ๋คํธ์ํฌ๋ค์ ์ธํฐ๋ท ์๋น์ค ์ ๊ณต์
์ฒด(ISP)๊ฐ ๋ชจ์์ ์์ฒ,์๋ฐฑ๋ง๋ช
์ด ์ฌ์ฉํด๋ ๋คํธ์ํฌ ํต์ ์ ํ ์ ์๋๋ก ์ ์๋ ํน์ํ ๋ผ์ฐํฐ๋ก ๊ด๋ฆฌ๋๋ค.
์ฐธ๊ณ ๋ก ํ๊ตญ์์ ์ด๋ฌํ ์ญํ ์ ํ๊ณ ์๋ ISP๋ [ SKT, KT, LG ] ์ผ์ธ๋ฐฉ์ด ๋
์ ํ๊ณ ์๋ค๊ณ ๋ณด๋ฉด ๋๋ค.
์ฐธ๊ณ ๋ก ํ๊ตญ์ ๋ฒ์ด๋ ํด์ธ์ ํต์ ์ ํ ๋์๋ ๋๋ถ๋ถ(70% ์ด์) ํด์ ์ผ์ด๋ธ์ ์ด์ฉํ์ฌ ํต์ ์ ์ฃผ๊ณ ๋ฐ๊ฒ ๋๋ค.
๋ค์ ์ฌ์ดํธ๋ฅผ ๋ค์ด๊ฐ๋ณด๋ฉด ํต์ ๋ง์ด ์ด๋ป๊ฒ ๊ตฌ์ถ ๋์ด์๋์ง ์ดํด ๋ณผ ์ ์์ผ๋ ์ฌ์ฌํ๋ฉด ๋ค์ด๊ฐ๋ณด์์ .

https://www.submarinecablemap.com/#/
๊ทธ๋์ ํฐ ์์ฐ์ฌํด๊ฐ ๋ฐ์ํ๊ฑฐ๋, ์ ์์ด๋๋ฉด ํด์ ์ผ์ด๋ธ์ด ๋๊ฒจ ์ธํฐ๋ท์ด ๋ง๋น๋๊ธฐ๋ ํ๋ค.
๋ฌผ๋ก ์์ฑ ์ธํฐ๋ท๋ ์์ง๋ง, ์์ง๊น์ง๋ ์๋๊ฐ ๋ง์ด ๋๋ฆฐํธ.
๋ฌผ๋ก 2022๋ ์๋ ์์ฑ์ ์ด๋ง์ด๋งํ๊ฒ ๋ง์ด ๋์, ์ ์ธ๊ณ ์ธํฐ๋ท์ ๊ตฌ์ถํ๋ ํ ์ฌ๋ผ์ ์คํ๋งํฌ ํ๋ก์ ํธ๊ฐ ์๊ธดํ๋ค.
2-2 ํ์ค ์์ฝ
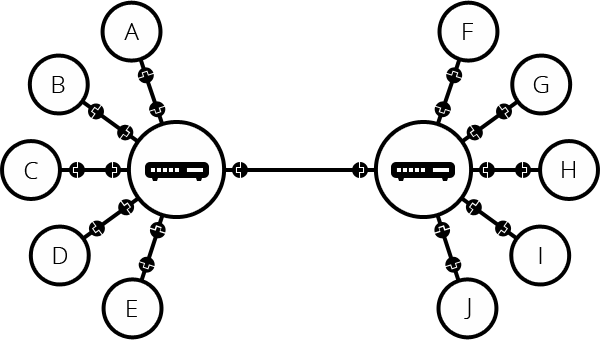
[ ๋ด ์ปดํจํฐ - ๋ผ์ฐํฐ - ๋ชจ๋ ] <- ISP ์ ์ฒด -> [ ๋ชจ๋ - ๋ผ์ฐํฐ - ์น๊ตฌ ์ปดํจํฐ ]
์ด๋ฌํ ๊ณผ์ ์ ๊ฑฐ์ณ ๋ถ์ฐ์ ์๋ ๋๋ ๋ฏธ๊ตญ์ ์๋ ๋ด ์น๊ตฌ๊ฐ ๋คํธ์ํฌ ํต์ ์ ํ ์ ์๊ฒ ๋๋ค.
๋ฌผ๋ก 0๊ณผ 1๋ก ์ด๋ฃจ์ด์ง ์ ๊ธฐ์ ํธ๋ก ํ์ํตํ, ์จ๋ผ์ธ ๊ฒ์์ด ๊ฐ๋ฅํ ์ ๋๋ก ๋คํธ์ํฌ๋ฅผ ๊ตฌ์ฑํ๊ธฐ์๋ ๋งค์ฐ ๋ณต์กํ ๊ณผ์ ๋ค์ด ์จ์ด์๋ค. ์ค์ ๋ก ์ฐ๋ฆฌ๋ ๋ผ์ฐํฐ ๊ธฐ๊ธฐ๋ ํ๋ฒ๋ ๋ณธ์ ์๊ณ ์ค์์นํ๋ธ, ๊ณต์ ๊ธฐ๋ฑ์ ๋ ๋ง์ด ๋ณด์์ ๊ฒ์ด๋ค. ์ด๊ฒ ํ๋ํ๋ ์ค๋ช ํ๋ค๋ณด๋ฉด ๋์ด ์์ด์ ์ง๊ธ์ ํฐ ๊ทธ๋ฆผ๋ง ๋๋ต์ ์ผ๋ก ์ดํดํ๊ณ ๋์ด๊ฐ๋ฉด ๋๋ค.
ํด๋น ๋ด์ฉ์ ๋คํธ์ํฌ ๊ณต๋ถ๋ฅผ ํ๊ฒ๋๋ฉด ์ธ์ธํ๊ฒ ๋ค์ ๋ค๋ฃจ๋๋ก ํ๊ฒ ๋ค.

'๐๊ธฐ๋ณธ ์ง์ > ์น ๊ธฐ๋ณธ์ง์' ์นดํ ๊ณ ๋ฆฌ์ ๋ค๋ฅธ ๊ธ
| HTTP #5 ์์ฒญ ๋ฉ์๋ (0) | 2021.09.06 |
|---|---|
| HTTP #4 ํน์ง๊ณผ ๋ฉ์์ง ๊ตฌ์กฐ (0) | 2021.07.18 |
| HTTP #3 URI์ ์น ๋ธ๋ผ์ฐ์ ์์ฒญํ๋ฆ (0) | 2021.07.17 |
| HTTP #2 ์ธํฐ๋ท ๋คํธ์ํฌ์ ์ดํด (0) | 2021.07.17 |
| ์น ํ๋ก ํธ์๋์ ๋ฐฑ์๋ (0) | 2021.03.22 |
๋ธ๋ก๊ทธ์ ์ ๋ณด
JiwonDev
JiwonDev